未成熟卵子が多い周期でも妊娠率は落ちないのか?ICSIにおける「量」と「質」の再定義
はじめに
顕微授精(ICSI)周期において、未成熟卵子の割合が高いと「今回の周期は卵子の質が悪いのではないか」と不安に感じる方は少なくありません。従来、未成熟卵子が多い周期は予後不良と考えられてきましたが、その本質が「質の問題」なのか、それとも「量の問題」なのかは明確ではありませんでした。
今回は、2025年に発表された大規模研究(Human Reproduction)をもとに、顕微授精(ICSI)周期において、未成熟卵子の割合が胚発生や生児獲得率に与える真の影響について解説します。
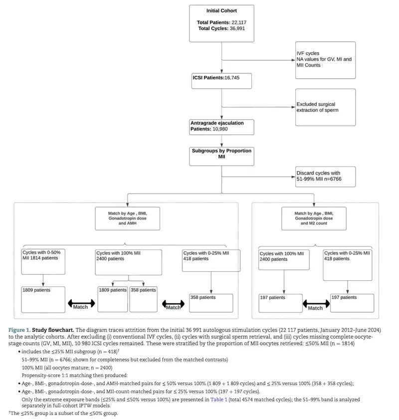
1. 研究の構造:量と質を分離して検証する
本研究の意義を理解する上で重要なのが、研究全体の構造です。
約3万6,000周期という膨大なデータから、ICSI症例約1万例を対象に解析。成熟卵子(MII)の割合に基づき3群に分類し、さらに「傾向スコアマッチング」という手法を用いて2段階の解析が行われています。
ポイントは、「AMH(卵巣予備能)で揃える解析」と「MII(成熟卵子)数で揃える解析」を意図的に分けている点にあります。これこそが、本研究の核心である「量と質の分離」を表しています。

2. データの推移:Table1〜Table4で見えてくるもの
【Table 1】未調整データでの傾向
まず、背景を調整しない段階では、未成熟卵子が多い群ほど明らかに成績が悪いことが示されています。100%成熟卵子が得られた群と比較して、未成熟卵子が多い群では胚盤胞数が大幅に少なく、PGT-A実施率も低くなり、さらに移植に至らない周期が著しく多くなっています。

【Table 2】AMH(卵巣予備能)を揃えた解析
この傾向は、患者様のAMH値を揃えたマッチング後も維持されています。背景因子を揃えた後でも、100%成熟卵子群の方が胚盤胞形成数やPGT-A実施率が優れており、未成熟卵子が多い周期では「胚の数」が明確に減少しています。この段階では、未成熟卵子の多さは依然として予後不良の因子であるように見えます。

【Table 3】成熟卵子の「数」を揃えた解析(本研究の核心)
しかし、最も重要なのは次の解析です。ここでは、さらに「同じ数の成熟卵子が得られた症例同士」を比較しています。
この条件下では、胚盤胞形成数やPGT-A実施率などのアウトカムはほぼ同等となり、有意差が消失しました。つまり、未成熟卵子の割合が高くても、「成熟卵子さえ確保されていれば」その後の胚の発育能自体は維持されている可能性を示しています。

【Table 4】移植あたりの生児獲得率
さらに、移植1回あたりの生児獲得率においても、マッチング後は群間差が認められていません。凍結胚移植、初期胚移植のいずれにおいても、未成熟卵子割合が高い群と100%成熟卵子群で妊娠率は同等でした。これは「最終的に移植される胚の質は保たれている」という解釈を強く支持する結果です。

3. なぜ「未成熟卵子が多いと不利」と言われるのか
ここで重要になるのが、移植キャンセル率の視点です。
未成熟卵子が多い群では、そもそも移植に至る周期自体が少なく、移植キャンセル率が大幅に高くなっています。
つまり、最終的に移植まで進めた症例だけを比較すると差がないものの、「そこに到達できる確率(チャンスの総数)」が低下しているというのが実態です。
4. 結論:チャンスの数は減るが、1回の質は保たれる
本研究は、未成熟卵子の多い周期に対して極めて重要な臨床的メッセージを示しています。
- 「量的な不利」: 未成熟卵子が多い周期では、利用可能な卵子数が減るため、胚盤胞数や移植機会が減少する。
- 「質的な維持」: 得られた成熟卵子から発生した胚の質自体は保たれており、必ずしも質的な低下が起きているわけではない。
未成熟卵子の多さは、主に「利用可能な配偶子数の減少」という問題であり、成熟卵子そのものの発育能が劣っているわけではありません。従来の「未成熟卵子が多い=質が悪い」という単純な理解を修正する必要があります。
当院からのアドバイス
臨床的には、未成熟卵子の割合そのものを評価するだけでなく、その背景にある刺激条件や卵巣反応を総合的に見直すことが重要です。刺激方法やトリガーのタイミングなどを調整することで、成熟卵子の割合を最適化できる可能性があります。
未成熟卵子が多い周期であっても、過度に悲観する必要はありません。「チャンスの数は減るが、得られた1回のチャンスの質は保たれている」という構造を正しく理解し、次の治療戦略を立てていくことが大切です。
出典:
A high proportion of immature oocytes in a cycle cohort does not compromise embryo development or live birth rates after ICSI
Human Reproduction, 2025, 40(12): 2318–2325
可能性がございます。
お電話受付終了時間 月~金 18:30/土曜 17:30/祝日 13:30